Table of contents
유니캐스트
이더넷을 활용하는 컴퓨터 네트워크(또는 인터넷망)에서 활용되는 유니캐스트(Unicast)는 송신자가 특정 수신자에게만 데이터를 보내는 방식입니다.
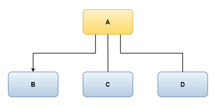
IP 유니캐스트에서 목적지의 MAC 주소를 모르는 패킷이 스위치를 통해 들어왔을 경우, 해당 패킷은 스위치에 연결된 모든 포트로 전송됩니다.
그리고 이러한 동작은 1:1로 통신하려는 유니캐스의 목적과 달리, 모든 단말에게 송신하는 브로드캐스트와 같은 동작을 수행하고 이 현상을 유니캐스트 플러드(Unicast flood)라고 합니다.
각 패킷마다, 다른 주소를 지정하여 송신하면 송신자의 처리량이 증가하게 됩니다.
이를 해결할 수 있는 방법은 하나의 패킷으로 다수에게 송신하는 멀티캐스트 방식과 모두에게 송신하는 브로드캐스트 방식이 있습니다.

멀티캐스트
멀티캐스트(Multicast)는 한 번의 송신으로 여러 단말에게 데이터를 보내는 방식을 의미합니다.
최근, 각광받는 분야 중 하나인 라이브 서비스를 생각해보면 라디오처럼 모두에게 데이터를 송신하 것이 아닌, 특정 사람들에게만 데이터를 송신하는 것을 예로 들 수 있습니다.
즉, 1:N 통신이긴 하지만 선택적 1:N 통신으로 보는 것이 맞겠네요.
사람의 기준으로는 내가 원하는 대상들에게 정보를 제공하는 것이 간단해보이지만, 기술 관점에서 보면 꽤 어려운 기술입니다.
각 단말들은 어디까지 전달을 해야할지 알아야 하며, 내가 받았었던 데이터인지도 알아야 합니다.

브로드캐스트
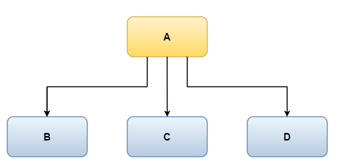
브로드캐스트(Broadcast)는 한 번의 송신으로 모든 수신자에게 데이터를 보내는 방식을 의미합니다.
브로드캐스트의 범위는 브로드 캐스트 도메인으로 제한 됩니다.
브로드캐스트 주소를 사용하여 해당 주소 범위에 있는 전체 호스트에 트래픽을 전달하게 됩니다.

'데이터통신/네트워크 > 컴퓨터 네트워크' 카테고리의 다른 글
| 멀티캐스트 IP/MAC 주소 변환 (0) | 2022.02.24 |
|---|---|
| IP 멀티캐스트, 멀티캐스트 주소 범위, 멀티캐스트 프르토콜 (0) | 2022.02.24 |
| OUI(Organizationally unique identifier) 개념 (0) | 2022.02.24 |
| CIDR 표기법, 192.168.1.0/24 , 10.0.0.0/8 (0) | 2022.02.22 |
| 기본 설정 DNS 서버와 보조 DNS 서버 개념 (0) | 2022.02.22 |